Title : Multicenter molecular integrals over dirac wave functions for solving the molecular matrix dirac equation
Abstract:
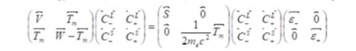
The gauge-invariant matrix Dirac equation was derived by Yoshizawa [1] as given by
(1)
where and are the coefficient matrices for the large component spinor, and are those for the small component spinor, and are the energy matrices, is the zero matrix, and the other matrix elements are given by
in which is a proper basis set, is the Pauli spin matrices, is the momentum, is the vector potential of the magnetic field due to the nuclear spin , and is the scalar potential. We use the Gauss-type charge density distribution (GCDD) model [2] for the vector potential of the magnetic field due to the finite nucleus, because some experiments show that the nucleus is not the point charge but a finite nucleus [2] and the GCDD model is frequently used for several calculations [3-5]. We use the atomic units throughout the present report ( , , , , ). However, we describe , , and explicitly for the readers convenience when one converts the units to the natural units. Using the Dirac identity, we have
(6)
and
(7)
Equation (6) shows necessary physical quantities in Eq. (3). Equation (7) does those in Eq. (4). Equations (2)-(5) show all of necessary matrix elements for solving the Dirac equation.
Many researchers extend the matrix Dirac equation to the molecule [3-20]. For a molecule, the scalar potential may be the sum of one and two electron terms as given by
(8)
where we use the GCDD model for the nuclear attraction. The Breit interaction [21] is not considered in the present report. Generally speaking, each matrix element is the multicenter molecular integral. It is natural to use the atomic Dirac wave function as the basis function for solving the molecular Dirac equation. However, there is no molecular integral formula for that purpose. The author derived the Gaussian-transform for the Dirac wave function centered at A in order to evaluate all of necessary molecular integrals as given by [22].
(9)
where in which is the fine structure constant and in which is the nuclear charge. This Gaussian-transform is the only one formula to be able to evaluate the multicenter integral over Dirac wave functions. Using the formula, we can derive all necessary molecular integrals for solving the Dirac equation. Such will be presented in the conference.

